![]() |
![]() |
![]() |
![]() |
![]() |
![]() |
![]() |
E. F5 - Math
2:Zero Finds the x-intercept in a designated interval. This is very useful when solving equations.
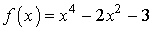
Example: Find a root of the equation
. When you enter the left and right bounds, try to enter values that are relatively close to the zero so that other variations in the graph do not impede the process. Make sure that the bounds are on opposite "sides" of the zero. You can enter the bound directly or you can use the cursor to scroll to a value.
Press![]()
to
access the Y=Editor. Pressand
set the window shown. Press![]()
to
draw the graph. Pressand select
option 2:Zero. Enter -2 as the
lower bound. Enter -1 as the upper
bound. The zero is shown
below. Find the other zero
using the same process.Notice that the zero is given as x=-1.732051 and the y-value is given as y=4.E-13 which is the scientific form for y=0.0000000000004. This is essentially zero.