![]() |
![]() |
![]() |
![]() |
![]() |
![]() |
![]() |
E. F5 - Math
4:Maximum Finds the maximum value of the function in a designated interval.
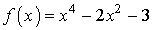
Example: Find the maximum value of the function
over the interval [-1,1].
Press![]()
to
access the Y=Editor. Press![]()
to
enter the window. Press![]()
to
draw the window. Pressand
select 4:Maximum Select x=-1
as the lower bound. Press.
Select x=1
as the upper bound. The calculator will
find the maximum.Notice that the x-value is given as x=-1.269E-7. This is the scientific notation for x=-0.0000001269. This is essentially zero.