![]() |
![]() |
![]() |
![]() |
![]() |
![]() |
![]() |
E. F5 - Math
3:Minimum Finds the minimum value of the function in a designated interval.
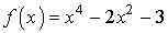
Example: Find the minimum value of the function
![]()
over the interval [-2,-1].
Press![]()
to
access the Y=Editor. Press![]()
to
enter the window. Press![]()
to
draw the window. Pressand
select 3:Minimum Select x=-2
as the lower bound. Press.
Select x=-1
as the upper bound. The calculator will
find the minimum.